a漫
在线申请
申请流程
学生门户
备考专区
在线咨询
返回顶部
|
学院a漫
MBAa漫
项目概况
院长寄语
培养目标
课程设置
学位授予
奖学金
招生信息
招生公告
常见问题
联系方式
备考专区
a漫动态
a漫公告
校园生活
学生组织
学生活动
教师资源
MBAa漫
项目概况
院长寄语
培养目标
课程设置
学位授予
奖学金
招生信息
招生公告
常见问题
联系方式
备考专区
a漫动态
a漫公告
校园生活
学生组织
学生活动
教师资源
学院a漫
MBAa漫
项目概况
院长寄语
培养目标
课程设置
学位授予
奖学金
招生信息
招生公告
常见问题
联系方式
备考专区
a漫动态
a漫公告
校园生活
学生组织
学生活动
教师资源
招生信息
招生公告
常见问题
联系方式
备考专区
招生公告
当前位置:
MBAa漫
->
招生信息
->
招生公告
->
正文
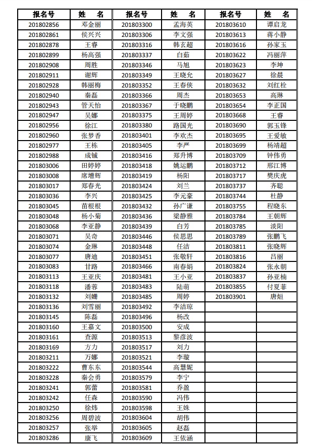
2019年MBA管理方向(西安)提前批第二次面试名单(图片版)
信息来源:
发布日期:2018-08-22
a漫
第三批,分组名单面试前发布
上一条:
2019年MBA管理方向(深圳)提前批面试名单通知
下一条:
7月21日提前批面试名单图片版本